DETERMINAÇÃO DOS EXCESSOS ENANTIOMÉRICOS DE GOSSIPOL EM SEMENTES DE ALGODOEIROS
Quezia Bezerra Cass ( PQ), Regina Vincenzi Oliveira (PG)
Departamento de Química, Universidade Federal de São Carlos.
CP 676  13565-905  São Carlos  S.P.
Luis Paulo de Carvalho(PQ), Eulesio C. Freire.(PQ)
palavras-chave: fase estacionária quiral (FEQ), resolução direta, Gossipol

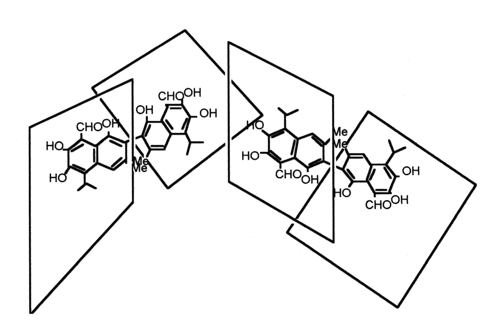
Gossipol
(1) é o principal pigmento da semente do algodão e é
um composto atropi-somérico devido à rotação
restrita em torno da ligação internaftil.
Na maioria dos estudos realizados in vitro ou in vivo, o (-)-Gossipol mostrou-se o mais ativo.1
Ambos os enantiômeros são encontrados na natureza, mas estudos realizados em diferentes espécies de Gossipium demonstraram que o excesso enantiomérico está relacionado com as espécies usadas, com as amostras cultivares e até mesmo entre diferentes partes de uma mesma planta.2,3
Vários métodos foram desenvolvidos para a análise e separação dos enantiômeros do Gossipol, entretanto todos eram dispendiosos por necessitarem de derivação dos enantiômeros que eram, então, separados em colunas quirais ou aquirais.
Após uma década das primeiras separações através do método indireto para os enantiômeros do Gossipol, a separação pelo método direto foi obtida com sucesso utilizando-se a fase estacionária quiral tris-(3,5-dimetilfenilcarbamato) de celulose adsorvida em APS-Hypersil (120 Å, 5 mm) (20% g/g), no modo reverso de eluição.4
Esses resultados nos motivaram a investigar a influência de outros carbamatos de polissacarídeo na separação dos enantiômeros do Gossipol, com a perspectiva de conseguirmos uma resolução ainda melhor do que a já obtida.
Assim, decidiu-se investigar as fases estacionárias quirais do polissacarídeo amilose.
A estrutura química da amilose difere da estrutura da celulose apenas na posição 1,4-b glicosídica e, no entanto, grandes diferenças quanto a enantiosseletividade das fases preparadas com amilose e celulose são observadas.
As fases tris-(3,5-dimetilfenilcarbamato) de amilose em APS-Hypersil (120 Å, 5 mm) (20% g/g) e tris-[(S)-1-feniletilcarbamato] de amilose em APS-Hypersil (120 Å, 5 mm) (15% g/g) foram selecionadas visando-se investigar a influência do polissacarídeo e do substituinte do carbamato, respectivamente, na discriminação quiral e também pelo conhecimento do alto poder discriminatório destas fases para uma extensa gama de compostos, incluindo compostos axiais quirais.5
Ter um método simples e direto para a determinação de excesso enantiomérico do Gossipol em amostras cultivares de algodão era um objetivo do grupo a tempos desejado.
As variações no excesso enantiomérico do Gossipol podem ser uma característica genética que deve ser melhor investigada.
Os resultados obtidos para os tris-carbamatos de amilose, quando comparados para os de celulose, mostraram uma baixa seletividade para os enantiômeros do Gossipol.
Desta forma, optou-se pela utilização da fase tris-(3,5-dimetilfenilcarbamato) de celulose em APS-Hypersil (120 Å, 5 mm) (20% g/g), utilizando-se ACN: KH2PO4 (0,01 M) pH=3 (60:40), fluxo = 1,0 mL/min e l= 254 nm, para a determinação da pureza enantiomérica nas sementes de amostras cultivares de algodão.
As sementes secas de algodão (5,0 g) foram maceradas e lavadas com hexano para que fosse possível a extração dos materiais graxos e depois de novamente secas foram extraídas com éter (20,0 mL). O extrato foi filtrado e evaporado a vácuo. O resíduo obtido foi rediluído em acetonitrila e analisado em cromatografia líquida de alta eficiência, conforme condições descritas acima.
O método direto aqui descrito é adequado para a análise da pureza enantiomérica de Gossipol nas amostras de sementes de algodão de uma maneira muito mais simples e rápida e está sendo também investigado para ensaios em outras partes do algodoeiro, como flores e raízes.
Joseph, A. E. A.; Matlin, S. A.; Knox, P. British Journal of Cancer, 1986, 54, 511.
2. Jaroszewski, J. W.; StrÆm-Hansen, T.; Hasen, S. H. Planta Médica, 1992, 58, 454.
3.Cass, Q., B.; Tiritan, E.; Matlin, S. A.; Freire, E. C. Phytochemistry, 1991,30,2655.
4. Cass, Q. B.; Bassi, A. L.; Matlin, S. A. Chirality, 1999, 11, 46.
5. Cass, Q. B.; Degani, A. L. G.; Tiritan, M. E.; Matlin, A. S.; Curran, D. P.; Balog, A. Chirality, 1997, 9, 109.
FAPESP