Utilização do PARAFAC para a modelagem da caracterização voltamétrica de azul de metileno e azul de meldola adsorvidos em Peroviskita
Eduardo O. Cerqueira (PG)1, Ronei J. Poppi(PQ)1, Margarida J. Saeki (PQ)2,
Lauro T. Kubota(PQ)1
2UNESP, Faculdade de Ciências, Bauru  SP
palavras-chave: Eletrodo modificado, Parafac, Peroviskita.
A peroviskita é uma classe de compostos inorgânicos com fórmula geral ABX3, onde A é um cátion grande, B é um cátion de tamanho médio e X um ânion, cristalizada geralmente em estrutura cúbica. Através da migração de prótons no interior de sua estrutura, quando a mesma se encontra em meio ácido, a peroviskita apresenta condutividade elétrica.
Quando se adsorve mediadores eletrônicos à superfície da peroviskita, o novo sistema pode apresentar propriedades eletrocatalíticas, facilitando a transferência de elétrons de modo a promover reações redox nas espécie contidas em solução. O azul de metileno e o azul de meldola têm sido utilizados como mediadores eletrônicos imobilizados em diversos substratos para a confecção de sensores de substâncias de interesse biológico.
Para a caracterização dos mediadores eletrônicos (corantes) adsorvidos em filme de peroviskita, foi feito um estudo multivariado para a otimização das condições eletroquímicas sob as quais o sistema apresenta propriedades de oxi-redução reversíveis. Esse estudo foi realizado através de dois planejamentos experimentais fatoriais de quatro variáveis: pH, Velocidade de Varredura, Potencial aplicado e número de ciclos, com 6, 5, 1600 e 5 níveis respectivamente, num total de 300 ciclos de varredura (cada 1600 potenciais aplicados correspondem a um ciclo de  400 a 400 mv, com incrementos de um em um mV).
O PARAFAC é um método quimiométrico que executa a decomposição de um tensor de dados em um somatório de produtos de vetores loadings. O número de elementos da soma, é igual ao número de espécies que respondem independentemente, e o número de loadings do produto é igual à dimensão do tensor de dados. A Equação 1 mostra a decomposição utilizada para o tensor tetradimensional gerado pelos dados do planejamento experimental
					Equação
1
onde cada elemento iijkl corresponde a medida de corrente nas condições i, j, k e l. No caso em questão: i = velocidade de varredura; j = pH, k = potencial aplicado e l = ciclo. Q é o número de espécies que respondem independentemente, ou número de fatores
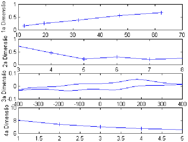
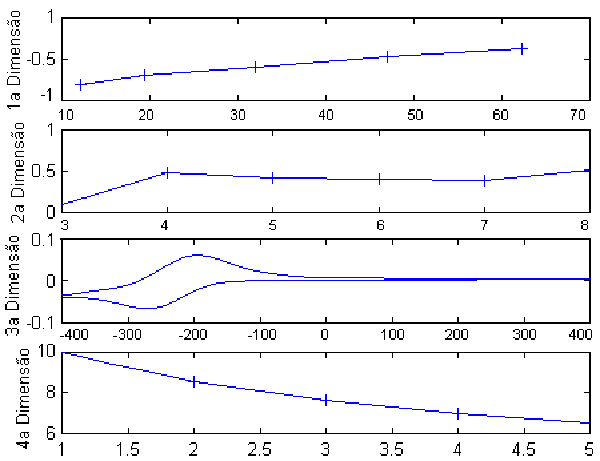
Com o auxílio do modelo PARAFAC, pode-se determinar diretamente a dependência entre cada variável experimental, e a corrente elétrica monitorada. No caso em questão, como só havia uma espécie em cada planejamento, utilizou-se apenas um fator (Q = 1), ou seja, o somatório fica reduzido a uma parcela. A Figura 1.a mostra a decomposição realizada pelo PARAFAC nos dados do planejamento experimental para o azul de metileno e a Figura 1.b para o azul de meldola.

(a) (b)
Figura 1. Decomposição realizada pelo PARAFAC para o estudo eletroquímico do azul de metileno (a) e do azul de meldola (b).
O estudo realizado pelo PARAFAC para os dois sistemas em questão, mostra que a dependência da corrente monitorada com a velocidade de varredura é linear.
Os loadings da segunda dimensão mostram que a intensidade da corrente independe do pH, para valores de pH superiores a 4 para o azul de metileno e superiores a 5 para o azul de meldola.
Para a terceira dimensão, o PARAFAC encontrou um voltamograma médio, uma vez que (a princípio) em cada condição distinta (pH, ciclo e velocidade de varredura), se obtém um perfil de voltamograma distinto.
Por fim, os loadings da quarta dimensão mostram que a corrente elétrica diminui com o ciclo, ou seja, que a cada ciclo, parte do azul de metileno é desorvido do eletrodo. Porém esse comportamento não é linear, e sim assintótico, ou seja, a quantidade de material adsorvido no eletrodo diminui até um limite, a partir do qual passa a ser constante.
A análise com o PARAFAC para os dados dos planejamentos experimentais mostrou que os sistemas eletroquímicos em questão são reprodutíveis e facilmente modeláveis.
![]()